PvsNP.kr
search
x
close
PvsNP.kr
github: @pvsnpkr
분류 전체보기
(15)
General
(2)
Focus
(0)
NP-Complete
(8)
Reduction
(3)
Karp 21
(0)
NP-Hard
(0)
홈
태그
방명록
NP-Complete
· 2025. 6. 26.
fullscreen
넓게보기
fullscreen_exit
원래대로
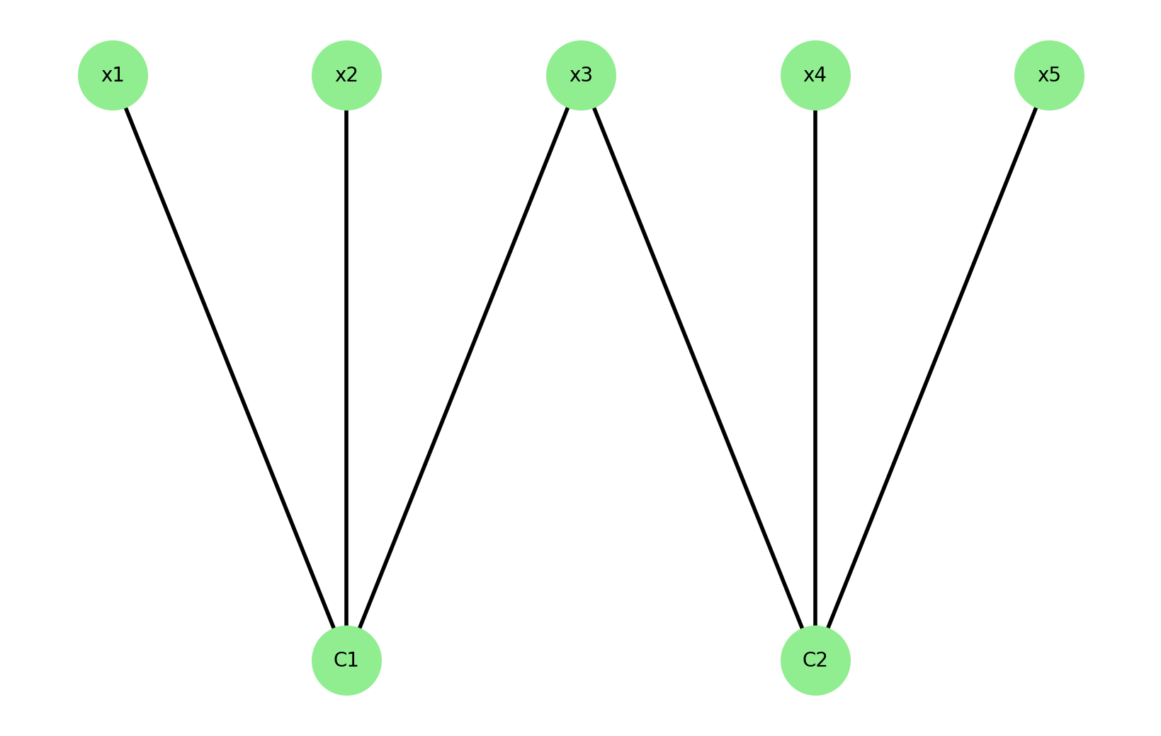
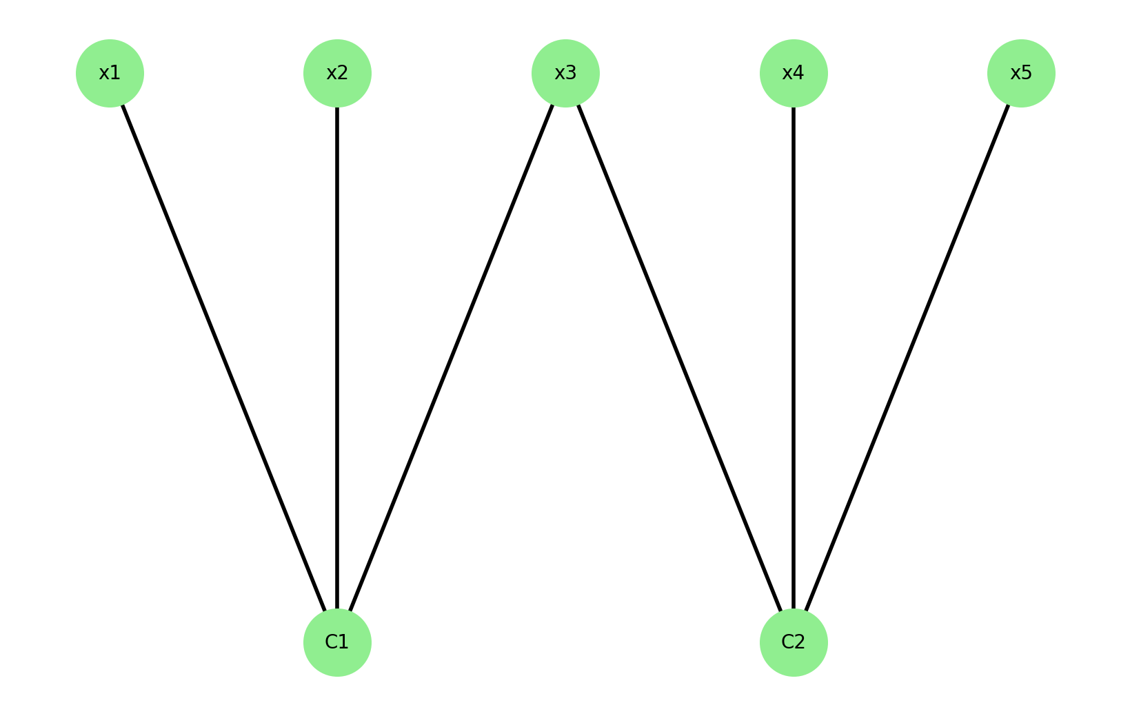
Planar 3-SAT
간선이 서로 겹치지 않고 그려질 수 있는가의 문제.
Not Planar
Planar
공유하기
게시글 관리
PvsNP.kr
'
NP-Complete
' 카테고리의 다른 글
Partition Problem
(0)
2025.06.27
Subset Sum / Knapsack
(0)
2025.06.27
Exact Cover
(0)
2025.06.26
3-D Matching
(0)
2025.06.26
NP-Complete
(0)
2025.06.24
NP-Complete 관련 글
더 보기
Partition Problem
2025.06.27
Subset Sum / Knapsack
2025.06.27
Exact Cover
2025.06.26
3-D Matching
2025.06.26
티스토리툴바
PvsNP.kr
구독하기